Annals of Neurosciences, Vol 13, No 2 (2006)
Annals of Neurosciences, Volume 13, Issue 2 (April), 2006
PROTECTIVE EFFECT OF ANTIOXIDANTS ON 3-NITROPROPIONIC ACID INDUCED OXIDATIVE STRESS AND COGNITIVE IMPAIRMENT
Corresponding author
Dr. Anil Kumar
Reader in Pharmacology, University Institute of Pharmaceutical Sciences, Panjab University, Chandigarh-160014, India.
Phone No. +91–172–2534106,2534114, Telefax: +91–172–2541142,
Email:
Abstract
3-Nitropropionic acid (3-NP), a complex II inhibitor of the electron transport chain, causes neurotoxicity. Systemic administration of 3-NP causes motor and cognitive deficits which are associated with excessive free radical generation. Recently, curcumin and Carvedilol have been implicated as a neuroprotectant in the treatment of various neurological disorders. The present study was designed to investigate effects of curcumin and Carvedilol, on 3-NP-induced cognitive impairment and oxidative stress in rats. Acute administration of 3-NP (40 mg/kg, i.p.) showed decrease in locomotor activity and poor retention of memory in Morris water maze and elevated plus-maze task paradigms. Treatment with curcumin (20 and 40 mg/kg, p.o.) and Carvedilol (2.5 and 5 mg/kg, p.o.) once daily for a period of 5 days beginning 4 days prior to 3-NP administration significantly improved the 3-NP- impaired locomotor activity and memory. Biochemical analysis revealed that systemic 3-NP administration significantly increased lipid peroxidation and depleted reduced glutathione (GSH) levels and reduced succinate dehydrogenase (SDH) activity in the brains of rats. However pretreatment with curcumin and Carvedilol significantly attenuated 3-NP induced oxidative stress and restored the decreased SDH activity. The results of the present study clearly indicate that curcumin and Carvedilol by their antioxidant activity showed protection against 3-NP-induced cognitive impairment and associated oxidative stress.
Key words : Carvedilol, Cognitive impairment, Curcumin, Huntington's disease, 3-nitropropionic acid, Oxidative stress
Introduction
3-Nitropropionic acid (3-NP) is a well-known fungus toxin causing neurotoxicity in animals and humans (1). The compound 3-NP is naturally found in Astragalus species and occasionally causes severe or fatal poisoning in grazing farm animals (2). The brain lesions produced by the systemic administration of 3-NP to laboratory animals show high specificity for the striatal tissue, although hippocampus, thalamus and cortex are also affected (3–4). 3-NP induces its neurotoxic pattern by involving the inhibition of succinate dehydrogenase, a key enzyme in the respiratory chain. Thus, 3-NP toxicity leads to a depletion of ATP and energy failure, resulting in altered calcium homeostasis, excitotoxic events and neuronal death (5). In turn, excitotoxic cell death has been related with reactive oxygen species (ROS) formation and oxidative stress (3). Accumulating data indicate that 3-NP also produces free radicals and consequent oxidative stress both in vitro and in vivo (6–8). These observations have been supported by experimental evidence showing that several antioxidants such as coenzyme Q10, N-acetylcysteine, melatonin and dehydroepiandrosterone (5), among others, protect the nerve tissue against the noxious actions of 3-NP. Thus, systemic administration of 3-NP is widely accepted as a suitable model to study the disease pathogenesis and examine new therapeutic strategies in the treatment of Huntington's disease (HD).
Antioxidants have been reported to possess free radical scavenging, iron chelating, and anti-inflammatory activities. Curcumin, a “potent antioxidant” is the major constituent of standardized extract of curcuma longa root (Zingiberaceae) commonly known as “Turmeric”. Curcumin is a scavenger of oxygen free radicals such as hydroxyl radical and nitrogen dioxide radical and is more potent than Vitamin E and A (9). Carvedilol, an antihypertensive agent has also been shown to scavenge oxygen free radicals, and inhibit lipid peroxidation in swine ventricular membranes, rat brain homogenates, bovine and human endothelial cells (10–11).
With this background the present study was carried out to evaluate the effects of curcumin and Carvedilol on oxidative stress induced by 3-NP in rat brain. We analyzed cognitive dysfunction and biochemical parameters indicative of oxidative stress such as the content of lipid peroxidation (malondialdehyde) products and changes in the levels of reduced glutathione and activity of respiratory chain enzyme such as succinate dehydrogenase enzyme in rat brain.
Materials and Methods
Animals – Male Wistar rats (200–250g) bred in Central Animal House facility of the Panjab University, Chandigarh were used. Animals were acclimatized to laboratory conditions prior to experimentation. The animals were kept under standard conditions of light and dark cycle with food and water ad libitum in groups of 2 in plastic cages with soft bedding. All the experiments were carried out between 09:00 and 15:00 h.
Drugs and treatment schedule – 3-Nitropropionic acid (3-NP) (Loba Chem., India) curcumin and Carvedilol (Sigma Chemicals Co., St. Louis, MO, USA) solutions were made freshly at the beginning of each experiment. A solution of 40 mg/kg 3-NP was prepared in normal saline and administered in a volume of 1 ml/100g body weight intraperitoneally (i.p.). Curcumin and Carvedilol were suspended in 0.5% sodium carboxymethylcellulose (CMC) and administered 1 ml/100 g body weight per orally (p.o.). Animals were randomly divided into six groups of 8 animals each. The first group, vehicle treated control group, received vehicle for antioxidants (p.o.) and also normal saline (i.p.). The second group received a single dose of 3-NP (40 mg/kg, i.p.). The third and fourth groups received a curcumin 20 mg/kg and 40 mg/kg once daily for a period of 5 days beginning 4 days before 3-NP injection + single dose of 3-NP (40 mg/kg, i.p.). The fifth and sixth groups received Carvedilol (2.5 and 5 mg/kg) once daily for a period of 5 days beginning 4 days before 3-NP injection + single dose of 3-NP (40 mg/kg, i.p.). In these groups, curcumin and Carvedilol were given 1 h prior to 3-NP administration on day 1.
Behavioral assessment
Assessment of motor activity
A) Assessment of gross behavioral activity (locomotor activity): Gross behavioral activity was assessed on day 1 (before), and 24 h after 3-NP administration. Each animal was observed over a period of 5 min in a square (30cm) closed arena equipped with infrared light sensitive photocells using digital photoactometer and values expressed as counts per 5 min.
Assessment of cognitive performance
- Elevated plus maze paradigm: The elevated plus maze consists of two opposite open arms (50 × 10 cm), crossed with two closed arms of same dimensions with 40 cm high walls. The arms are connected with central square (10 × 10 cm). Acquisition of memory was assessed on day 1 before 3-NP treatment. Rats were placed individually at one end of an open arm facing away from the central square. The time taken to move from open arm and enter into one of the closed arms was recorded as initial transfer latency (ITL). If the animal did not enter an enclosed arm with in 90 sec, it was gently pushed in to the enclosed arms and the TL was assigned as 90 s. Retention of memory was assessed by placing a rat similarly on an open arm and retention latency was noted after 24 h of ITL (12).
- Spatial navigation task: The acquisition and retention of a spatial navigation task was examined using a Morris water maze (13). Animals received a training session consisting of 4 trials in a day for four days prior to 3-NP administration in a circular pool ( 180 cm diameter × 60 cm) filled with water. In all 4x4 trials the starting positions were different. The latency to find the escape platform was recorded up to a maximum of 2 min. The platform was fixed in the center of one of the 4 quadrants and remained in that location for the duration of experiment. The time taken by a rat to reach the platform on fourth day was recorded as initial acquisition latency (IAL). Following 24 h after IAL, a rat was randomly released at any one of the edges (N, S, E, W) facing the wall of the pool and tested for the retention of the response.
Biochemical tests: Biochemical tests were carried out after the behavioral test i.e. 24 h after 3-NP administration.
Tissue preparation: Animals were sacrificed by decapitation and the brains were removed. Brain tissue samples were then homogenized with ice cold 0.1 M phosphate buffer (pH 7.4) 10 times (w/v). The homogenate was centrifuged at 10,000′ g for 15 min and aliquots of supernatant was separated and used for biochemical estimation.
Measurement of succinate dehydrogenase activity: Succinate dehydrogenase is a marker of impaired mitochondrial metabolism in brain. The quantitative measurement of SDH levels in brain was performed according to the method as described in previous reports. A 0.3 ml of sodium succinate solution was mixed with the 50 ml of gradient fraction of homogenate. The mixture was incubated at 37°C for 10–20 min and then 0.1 ml of solution of p-iodonitrotetrazolium violet (INT) was added and again incubated for further 10 min. The reaction was stopped by adding 1 ml of a mixture of ethyl acetate: ethanol: tricholoroacetic acid 5:5:1 (v/v/w) and centrifuged at 15000 rpm for 1 min and the absorbance at 490 nm was determined with Perkin Elmer lambda 20 spectrophotometer. Results were calculated using molar extinction coefficient of chromophore (1.36′ 104 M-1 cm-1) and expressed as percentage of control.
Measurement of lipid peroxidation: The quantitative measurement of lipid peroxidation in brain was performed according to the method of Wills (25).
Estimation of reduced glutathione: Reduced glutathione in the whole brain tissue was estimated according to the method of Ellman (26). The results were expressed as percentage of control.
Protein estimation: The protein content was measured by biuret method using bovine serum albumin as standard.
Statistical Analysis: One specific group of rats was assigned to one specific drug treatment and each group comprised six rats (n=8). All the values are expressed as mean ± SEM. The data were analyzed by using analysis of variance (ANOVA) followed by Dunnett's test. In all tests, the criterion for statistical significance was P < 0.05.
Results
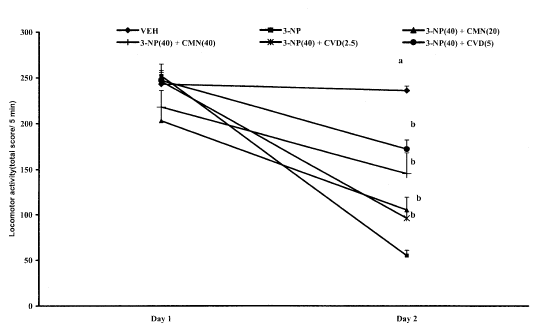
Effect of curcumin and carvedilol on gross behavioral activity in 3-NP treated rats: In the present experiment, the mean scores of gross behavioral activity on day 1 prior to 3-NP administration for each rat were relatively stable and showed no significant variation. Acute systemic administration of 3-NP caused significant decrease in motor activity as compared to vehicle control group 24 hour after its treatment. Further, two doses of curcumin (20 and 50 mg/kg, p.o.) and Carvedilol (2.5 and 5 mg/kg p.o.) attenuated the decrease in motor activity due to 3-NP treatment (Fig. 1).

Fig. 1: Effect of curcumin (CMN) (20 and 40 mg/kg, p.o.) and Carvedilol (CVD) (2.5 and 5 mg/kg, p.o.) on locomotor activity in 3-NP treated rats. aP < 0.05 as compared to vehicle treated control group; bP < 0.05 as compared to 3-NP injected group; (One-way ANOVA followed by Dunnett's test), n = 8 in each group
Effect of curcumin and carvedilol on memory performance in elevated plus maze paradigm in 3-NP treated rats: In the present experiment, the mean ITL on day 1 before 3-NP treatment for each rat was relatively stable and showed no significant variation. 3-NP-treated rats showed increase in the mean retention transfer latencies after 24 hour of 3-NP treatment. Administration of curcumin (20 and 40 mg/kg, p.o.) and Carvedilol (2.5 and 5 mg/kg p.o.) beginning prior to 3-NP treatment significantly decreased the mean retention latencies indicating improvement of memory impairment (Fig. 2.).

Fig. 2: Effect of curcumin (CMN) (20 and 40 mg/kg, p.o.) and Carvedilol (CVD) (2.5 and 5 mg/kg, p.o.) on memory performance in elevated plus maze in 3-NP treated rats. aP < 0.05 as compared to vehicle treated control group; bP < 0.05 as compared to 3-NP injected group; (One-way ANOVA followed by Dunnett's test), n = 8 in each group.
Effect of curcumin and carvedilol on spatial navigation task in 3-NP treated rats: All the animals quickly learned to swim directly to the platform in the gMorris water maze on fourth day prior to initiation of 3-NP treatment. The performance in the 3-NP-treated rats was changes after initial training in the water maze after 24 hour of 3-NP treatment However, curcumin (20 and 40 mg/kg p.w.) starting before 3-NP injection showed a significant decline in the RL after 24 hour of 3-NP treatment (Fig. 3.).

Fig. 3: Effect of curcumin (CMN) (20 and 40 mg/kg, p.o.) and carvedilol (CVD) (2.5 and 5 mg/kg, p.o.) on locomotor activity in 3-NP treated rats. aP < 0.05 as compared to vehicle treated control group; bP < 0.05 as compared to 3-NP injected group; (One-way ANOVA followed by Dunnett's test), n = 8 in each group.
Effect of curcumin and Carvedilol on brain succinate dehydrogenase levels in 3-NP-injected rats: Systemic 3-NP administration showed significant decline in the brain SDH activity as compared to vehicle-treated rats. Oral administration of curcumin (20 and 40 mg/kg, p.o.) and Carvedilol (2.5 and 5 mg/ kg p.o.) significantly attenuated the reduction in SDH activity compared to 3-NP-treated group (Fig. 4).

Fig. 4: Effect of curcumin (CMN) (20 and 40 mg/kg, p.o.) and Carvedilol (CVD) (2.5 and 5 mg/kg, p.o.) on memory performance in elevated plus maze in 3-NP treated rats. aP < 0.05 as compared to vehicle treated control group; bP < 0.05 as compared to 3-NP injected group; (One-way ANOVA followed by Dunnett's test), n = 8 in each group.
Effect of curcumin and Carvedilol on brain lipid peroxidation and reduced glutathione levels in 3-NP-treated rats: Systemic administration of 3-NP caused marked increase in free radical generation, lipid peroxidation, and decline in antioxidant defense as indicated by a significant rise in brain MDA levels and depletion of GSH as compared to vehicle treated rats. However, curcumin (20 and 40 mg/kg, p.o.) and Carvedilol (2.5 and 5 mg/kg p.o.) administration significantly prevented the increase in MDA levels and GSH depletion (Fig. 5 and 6).

Fig. 5: Effect of curcumin (CMN) (20 and 40 mg/kg, p.o.) and Carvedilol (CVD) (2.5 and 5 mg/kg, p.o.) on 3-NP mediated elevation in rat whole brain MDA levels. aP < 0.05 as compared to vehicle treated control group; bP < 0.05 as compared to 3-NP injected group. (One-way ANOVA followed by Dunnett's test), n = 8 in each group.

Fig. 6: Effect of curcumin (CMN) (20 and 40 mg/kg, p.o.) and Carvedilol (CVD) (2.5 and 5 mg/kg, p.o.) on 3-NP depleted reduced glutathione (GSH) in rat whole brain. aP < 0.05 as compared to vehicle treated control group; bP < 0.05 as compared to 3-NP injected group. (One-way ANOVA followed by Dunnett's test), n = 8 in each group
Discussion
The present study examined the potential therapeutic value of antioxidants in the prevention of 3-NP neurotoxicity. Our results demonstrate that 3-NP promotes oxidative damcige through lipid peroxidation, and enhances mitochondrial dysfunction by decreasing SDH enzyme in a process likely involving ROS formation. Where as curcumin and Carvedilol, potent antioxidants, can be protective in this model of neurotoxicity in that each agent significantly improved cognitive defects, prevented reduction in SDH and oxidative stress induced by systemic 3-NP treatment.
It is well reported that 3-NP produces lesions in hippocampal CA1 and CA3 pyramidal neurons, the area of brain that is associated with cognitive performance (14). There is a strong correlation between motor and cognitive deficits associated with markedly increased production of free radicals as indicated by increased MDA (a marker of lipid peroxidation), nitrite levels and depletion of reduced glutathione (an endogenous antioxidant) levels leading to oxidative stress following systemic administration of 3-NP in rats (5,8,15,16). Further, 3-NP also increases the expression of inducible nitric oxide synthase (iNOS) thereby increases nitric oxide (NO) level. Among the most compelling evidence for 3-NP induced oxidative damage is an alteration in the levels of endogenous antioxidants observed in animals treated with 3-NP (5, 6, 16).
As a primary effect, the oxidative pattern produced by 3- NP in the brain includes the following characteristics: ROS formation, changes in endogenous antioxidants, increased levels of 3-NT (a biomarker peroxynitrite (ONOO)-formation), and the oxidative disruption of the mitochondrial respiratory chain (17). In this regard, our findings on the involvement of oxidative damage as part of the toxic general pattern elicited by 3-NP are also supported by previous reports demonstrating that the use of different antioxidants, such as melatonin, nicotine and vitamin E, results in partial or complete prevention of 3-NP-induced neurotoxicity through a reduction in the inhibition of succinate dehydrogenase, suggesting that ROS can regulate the activity of this and other enzymes which are relevant for cell metabolism (5,7,18).
Most importantly, attenuation of oxidative stress by antioxidants like curcumin and Carvedilol has been attributed to its action as a potent antioxidant that results from its direct scavenging activity of superoxide, hydroxyl radicals, metal chelating property and ability to inhibit various oxidases (9, 19, 20). In addition, they induce antioxidant enzymes like superoxide dismutase, catalase, glutathione peroxidase, glutathione-S-transferase, heme-oxygenase (21). Moreover, NO nitrosylates enzymes involved in glucose metabolism and cause DNA mutation and strand breaking, which in turn stimulates polyADP-ribosylation of proteins, ultimately causing massive depletion of cellular energy. It is reported previously that Carvedilol inhibited lipid peroxidation in myocardial cell membranes imitated by oxygen radicals generated by chemical enzymatic or cellular systems, and also protected endothelial cells from oxygen radical mediated injury (10). In addition curcumin also decreases NO-based radicals thereby preventing free radical and excitotoxin-induced neurotoxicity and prevented DNA strand breakage and cytotoxicity (9). Accumulating evidence indicate that curcumin showed marked neuroprotection in various neurological disease models (19, 21). Recently, it has been reported that curcumin prevents oxidative stress both in vitro and in vivo and improves impaired cognitive performance in animals (22). Carvedilol preserves the endogenous antioxidant systems (i.e. vitamin E and glutathione) that are normally consumed when tissues or organ are exposed to oxidative stress and protects neuronal cells from injury induced by oxygen free radicals in vitro and from ischemic and reperfusion damage in vivo (10, 23). Carvedilol also protects against peroxynitrite toxicity and reported to increase glutathione levels (24)
It is well reported that 3-NP impairs mitochondrial function and energy production, and metabolic inhibition. Further, glutamate release inhibitors and glutamate receptor antagonists blocked 3-NP toxicity suggesting that oxidative stress is mediated by secondary excitotoxic mechanisms (3). Consistent with previous studies, in the present study, we found a marked decrease in SDH activity, which was significantly reversed by chronic administration of antioxidants. It is well reported that oxidative stress impairs mitochondrial energy metabolism and vice versa (15,25). It is also possible that the increased free radical formation causes macromolecular changes in striatal neurons, altered mitochondrial metabolism, respiratory chain enzymes, and leads to reduction in SDH activity. Therefore, the increase in SDH activity in 3-NP-injected rats suggest that antioxidant mechanisms might be involved in the restoration of the brain SDH activity.
In summary, the multitude of effects of antioxidants highlights the search for potential neuroprotective mechanisms involved in improving cognitive dysfunction. Together, the results of the present study suggest that chronic administration of antioxidants prevents 3-NP-induced cognitive impairment and associated oxidative stress. Further, the use of antioxidants warrants evaluation for treatment of neurological disorders, which are associated with free radical generation and cognitive impairment.
References
1. Ludolph AC, He F, Spencer PS, Hammerstad J, Sabri M. 3-Nitropropionic acid-exogenous animal neurotoxin and possible human striatal toxin, Canadian J Neurol Sci 1991:18: 492–498.
2. Patocka J, Bieleavsky J, Cabal J, Fusek J. 3-Nitropropionic acid and similar toxins, Acta Medica (Hardec Kralove) 2000: 43: 9–13.
3. Beal MF, Brouillet E, Jenkins BG, Ferrante RJ, Kowall NW, Miller JM, Storey E, Srivastava R, Rosen BR, Hyman BT. Neurochemical and histologic characterization of striatal excitotoxic lesions produced by the mitochondrial toxin 3-nitropropionic acid, J Neurosci 1993 :13: 4181–4192.
4. Borlongan CV, Koutouzis TK, Sanberg PR. 3-Nitropropionic acid animal model and Huntington's disease, Neurosci Biobehaviour Rev 1997: 21:289–293.
5. Tunez I, Montilla P, Del Carmen Munoz M, Feijoo M, Salcedo M. Protective effect of melatonin on 3-nitropropionic acid-induced oxidative stress in synaptosomes in an animal model of Huntington's disease, J Pineal Res 2004 : 37: 252–256.
6. Beal MF, Ferrante RJ, Henshaw R, Matthews RT, Chan PH, Kowall NW, Epstein CJ, Schulz JB 3-Nitropropionic acid neurotoxicity is attenuated in copper/zinc superoxide dismutase transgenic mice, J Neurochem 1995: 65: 919–922.
7. Fontaine MA, Geddes JW, Banks A, Butterfield DA. Effect of exogenous and endogenous antioxidants on 3-nitropionic acid-induced in vivo oxidative stress and striatal lesions: insights into Huntington's disease, J Neurochem 2000: 75: 1709–1715.
8. Schulz JB, Henshaw DR, MacGarvey U, Beal MF. Involvement of oxidative stress in 3-nitropropionic acid neurotoxicity, Neurochem Int 1996: 29: 167–171.
9. Sreejayan N, Rao MNA. Nitric oxide scavenging by curcuminoids, J Pharm 1997: 49: 105–107.
10. Yue TL, Feuerstein GZ. Carvedilol, a new vasodilator and β-adrenoceptor antagonists inhibits oxygen radical mediated lipid peroxidation in swine ventricular membranes, Pharm Comm 1992: 1: 27–35.
11. Yue TL, Cheng HY, Lysko PG, McKenna PJ, Feuerstein R, Gu JL, Lysko KA, Davis LL, Feuerstein G. Carvedilol, a new vasodilator and b-adrenoceptor antagonist is an antioxidant and free radical scavenger, J Pharm Exp Ther 1992: 263: 92–98.
12. Verma, A, Kulkarni SK. Evaluation of learning and memory mechanisms employing plus maze in rats and mice, Prog Neuropsychopharmacol Biol Psychiatry 1992 :16:117--125.
13. Wullner U, Young AB, Penny JB, Beal MF 3-Nitropropionic acid toxicity in the striatum, J Neurochem 1994: 63: 1772–1781.
14. Sugino T, Nozaki K, Takagi Y, Hattori I, Hashimoto N, Yodoi J. Expression and distribution of redox regulatory protein, thioredoxin after metabolic impairment by 3-nitropropionic acid in rat brain, Neurosci Lett 1999: 275: 145–148.
15. Montilla P, Tunez I, Munoz MC, Salcedo M, Feijoo M, Munoz-Castaneda JR, Bujalance I. Effect of glucocorticoids on 3-nitropropionic acid-induced oxidative stress in synaptosomes, Eur J Pharmacol 2004 :488: 19–25.
16. Binienda Z, Simmons C, Hussain S, Slikker Jr W, Ali SF. Effect of acute exposure to 3-nitropropionic acid on activities of endogenous antioxidants in the rat brain, Neurosci Lett 1998: 251: 173–180.
17. Tunez I, Montilla P, Del Carmen Munoz M, Feijoo M, Salcedo M. Protective effect of nicotine on 3-nitropropionic acid-induced oxidative stress in synaptosomes in an animal model of Huntington's disease, Euro J Pharmacol 2004: 504: 169–175.
18. Daniel S, Limson JL, Dairam A, Watkins GM, Daya S. Through metal binding, curcumin protects against lead and cadmium induced lipid peroxidation in rat brain homogenates and against lead induced tissue damage in rat brain, J Inorganic Biochemistry 2004:98: 266–275.
19. Kunchandy F, Rao MNA. Oxygen radical scavenging activity of curcumin, Int J Pharm 1990: 58 237–240.
20. Ghoneim AI, Abdel-Naim AB, Khalifa AE, El-Denshary ES. Protective effects of curcumin against ischaemia/reperfusion insult in rat forebrain, Pharmacology Research 2002: 46 273–279.
21. Thiyagarajan M, Sharma SS. Neuroprotective effect of curcumin in middle cerebral artery occlusion induced focal cerebral ischemia in rats, Life Sci 2004: 74: 969–985.
22. Lysko PG, Lysko KA, Webb CL, Feuerstein G. Neuroprotective effects of Carvedilol, a new antihypertensive at the N-methyl-D-aspartate receptor, Neurosci Lett 1992: 148: 34–38.
23. Feuerstein GZ, Bril A, Ruffolo RR Jr. Protective effects of Carvedilol in the myocardium, Am J Cardiol 1997: 80: 41L-45L.
24. Butterfield DA, Howard BJ, LaFontaine MA. Brain oxidative stress in animal models of accelerated aging and the age-related neurodegenerative disorders, Alzheimer's disease and Huntington's disease, Curr Med Chem 2001: 8: 815–828.
25. Wills ED. Mechanism of lipid peroxide formation in animal, Biochem J 1966: 99: 667–676.
26. Ellman GL. Tissue sulfhydryl groups, Arch Biochem Biophysics 1959: 82: 70–77.
(c) Annals of Neurosciences.All Rights Reserved